您的瀏覽器不支援JavaScript功能,若網頁功能無法正常使用時,請開啟瀏覽器JavaScript狀態。
Differential relationships of NMDAR hypofunction and oxidative stress with cognitive decline
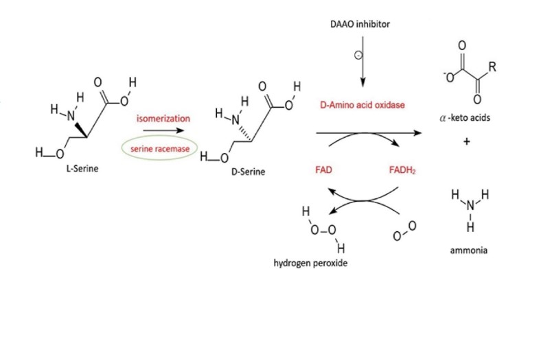
作者群:藍先元(Hsien-Yuan Lane)、王世亨(Shi-Heng Wang)、林 潔欣(Chieh-Hsin Lin)
期刊:Psychiatry Res
出版年月:2023
圖片來源:Psychiatry Res
連結:https://pubmed.ncbi.nlm.nih.gov/37343463/